交易提示
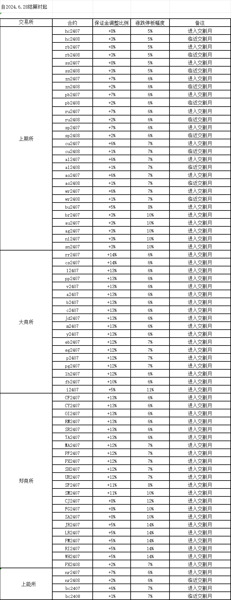
交易提示--2024.07.01保证金
分类:交易提示阅读量:373次时间:2024-06-28 16:52:38

上一篇:
交易所交易提示-2024.06.28
下一篇:
交易所交易提示-2024.07.01
交易提示--2024.07.01保证金
分类:交易提示阅读量:373次时间:2024-06-28 16:52:38
上一篇: 交易所交易提示-2024.06.28
下一篇: 交易所交易提示-2024.07.01