交易提示
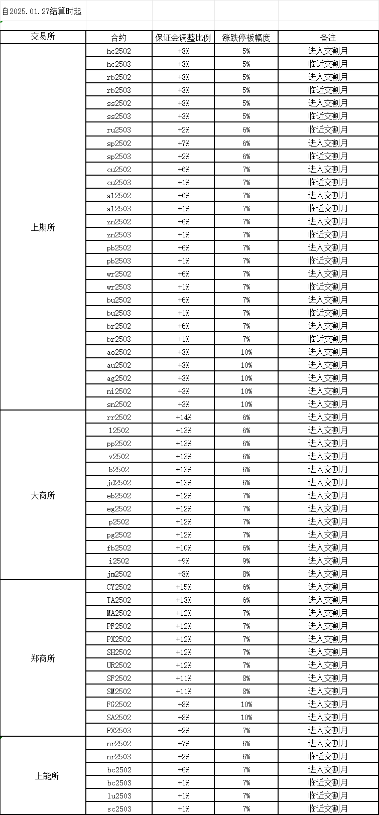
交易提示--2025.02.05保证金
分类:交易提示阅读量:358次时间:2025-01-27 15:57:59

上一篇:
交易提示--2025.01.22保证金
下一篇:
交易提示--2025.02.10保证金
交易提示--2025.02.05保证金
分类:交易提示阅读量:358次时间:2025-01-27 15:57:59
上一篇: 交易提示--2025.01.22保证金
下一篇: 交易提示--2025.02.10保证金