交易提示
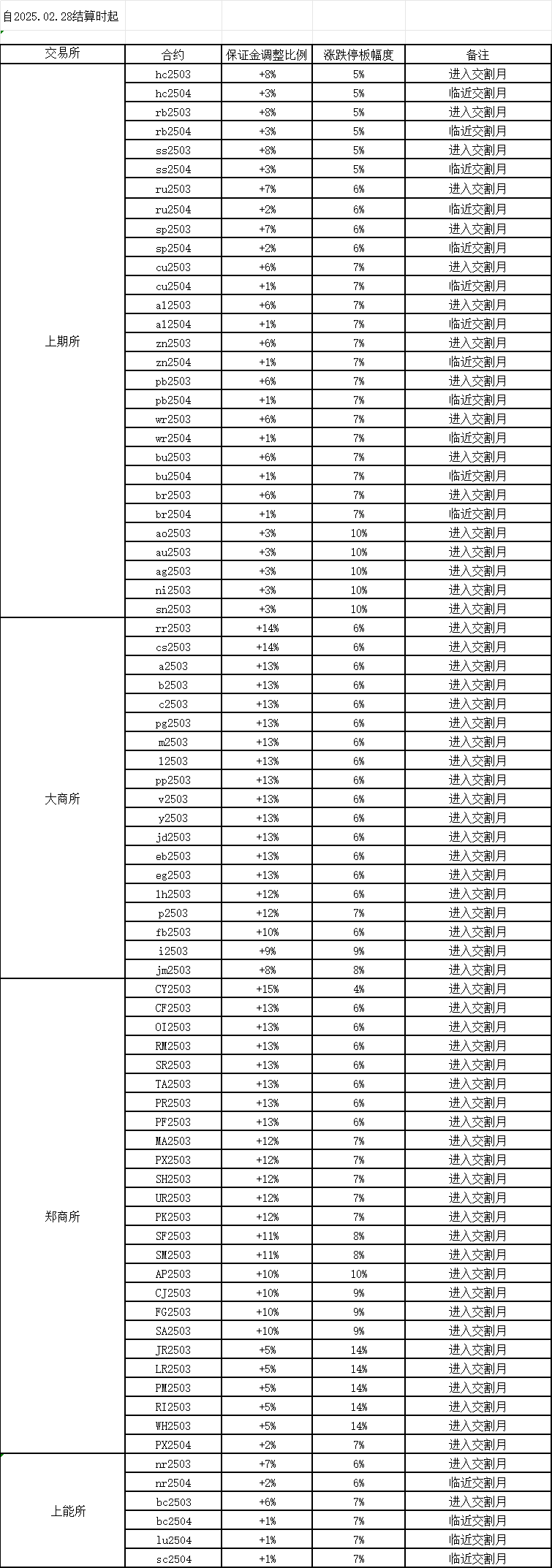
交易提示--2025.03.03保证金
分类:交易提示阅读量:123次时间:2025-02-28 16:51:22

上一篇:
交易提示--2025.02.26保证金
下一篇:
交易提示--2025.03.11保证金
交易提示--2025.03.03保证金
分类:交易提示阅读量:123次时间:2025-02-28 16:51:22
上一篇: 交易提示--2025.02.26保证金
下一篇: 交易提示--2025.03.11保证金