交易提示
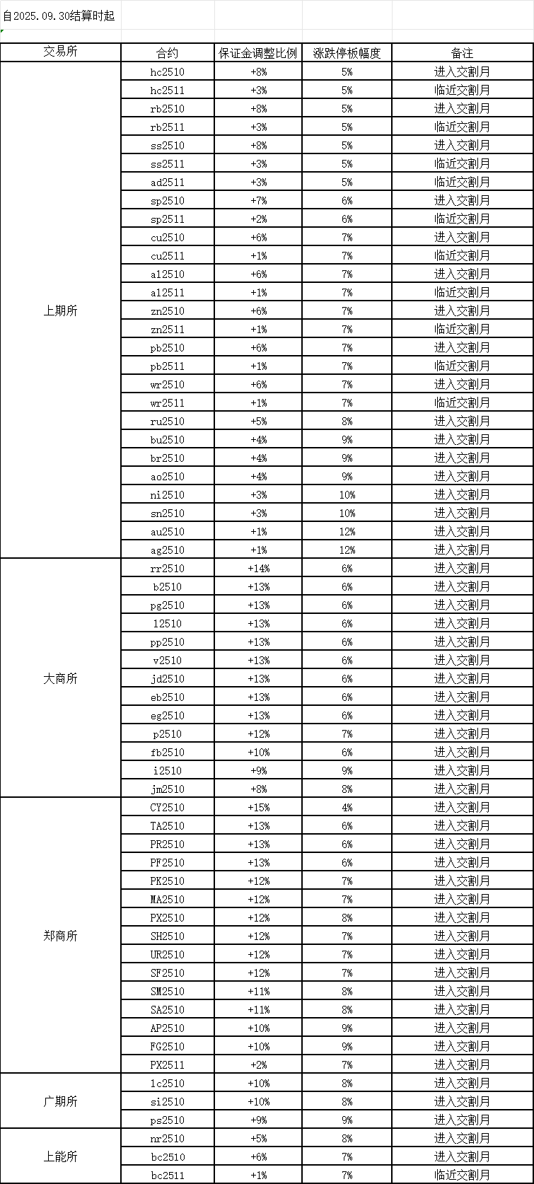
交易提示--2025.10.09保证金
分类:交易提示阅读量:42次时间:2025-09-30 16:24:53

上一篇:
交易提示--2025.09.19保证金
下一篇:
交易提示--2025.10.13保证金
交易提示--2025.10.09保证金
分类:交易提示阅读量:42次时间:2025-09-30 16:24:53

上一篇: 交易提示--2025.09.19保证金
下一篇: 交易提示--2025.10.13保证金